Przejdź do treści
Reklama
Reklama
Ludzie i style

Jak bardzo możesz się zbliżyć do drugiej osoby? To zależy od kraju

Jak bardzo możesz się zbliżyć do drugiej osoby? To zależy od kraju Jak bardzo możesz się zbliżyć do drugiej osoby? To zależy od kraju Aleksandra Mazur / Unsplash
Z nieznajomymi lepiej trzymać się na dystans, żeby czuli się komfortowo. No właśnie – ale na jaki dystans dokładnie?
.mat. pr. .

Nie każdy w pierwszych chwilach znajomości życzy sobie kontaktu fizycznego. Nie każdy życzy go sobie także potem – granice strefy intymnej każdy z nas ustala indywidualnie. Zwykle dobrze wiemy, jak bardzo możemy się zbliżyć do osoby, którą świetnie znamy. Wiemy, czy lubi uściski czy też lepiej na dzień dobry i do widzenia pomachać jej z bezpiecznej odległości. Jeśli i my stronimy od dotyku, najpewniej osoby, które mają z nami na co dzień do czynienia, szybko się o tym przekonają.

Sytuacja zmienia się zresztą w zależności od tego, czy zbliża się do nas mimowolnie osoba obca (np. w środkach komunikacji miejskiej), przyjaciel czy znajomy. Bliskim ludziom pozwalamy, rzecz jasna, na więcej – bo czujemy się w ich pobliżu swobodnie, a krótki dystans nie wpędza nas w dyskomfort. Czułość bywa wręcz pożądana, bo cementuje związki. Choć oczywiście w dalszym ciągu wszystko zależy od indywidualnych – by tak rzec – preferencji i upodobań.

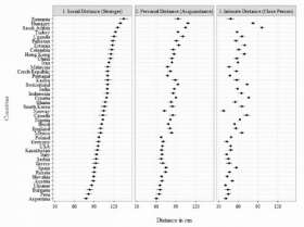
Ale poza indywidualnie wytyczonymi granicami istnieją też pewne ogólne wytyczne. To nie tajemnica, że obszar strefy intymnej ma związek z płcią (kobiety wolą zachowywać nieco krótszy dystans), wiekiem (starsi wolą większy dystans) i – generalnie – z temperaturą otoczenia. Ludzie różnie więc rozumieją pojęcie „strefy intymnej”. W kulturach „kontaktu” dystans między ludźmi jest mniejszy (dotyczy to zwłaszcza krajów Afryki Południowej, Bliskiego Wschodu i Europy Południowej), w kulturach „bez kontaktu” – większy (Ameryka Północna, Europa Północna, Azja). Warto o tym wiedzieć, kiedy udajemy się w te strony. Nie dziwmy się też, że kiedy chcemy być przyjaźni i skracamy dystans, jesteśmy postrzegani jako nieuprzejmi.

Żeby jeszcze lepiej odnaleźć się wśród różnych ludzi – naukowcy ustalili bardzo dokładnie, jak duży (lub krótki) dystans dzieli ludzi w poszczególnych krajach.

Reklama