Przejdź do treści
Reklama
Reklama
Nauka

Jak wyjść z globalnego lockdownu? Naukowcy podpowiadają

Rowerzysta w maseczce, Nowy Jork Rowerzysta w maseczce, Nowy Jork Caitlyn Ochs / Forum
Jak wyjąć świat z zamrażarki? Badacze z London School of Hygiene & Tropical Medicine uważają, że mamy prawo nie być biernymi „nośnikami” zarazy, i prezentują konkretne scenariusze wyjścia ze światowego lockdownu.

Informowani, a nie przekonywani

  1. Przede wszystkim należy komunikować się często, spójnie, podając godne zaufania źródła informacji.
  2. Należy być otwartym i transparentnym.
  3. Należy opowiedzieć o tym, co się wie, a potem należy opowiedzieć o tym, czego się nie wie.
  4. Należy podkreślić, i stale podkreślać, wątpliwości – czyli to, że nasza wiedza jest ograniczona.
  5. Potem należy powiedzieć, co planujemy i dlaczego.
  6. Na końcu należy powiedzieć, jakie działania mogą podjąć ludzie, jak powinni się zachowywać.
  7. Niezwykle ważne jest, by powiedzieć, że wszystko może ulec zmianie w miarę zdobywania wiedzy na temat zagrożenia.

Oto fundamentalne zasady porozumiewania się ze społeczeństwem w czasach kryzysu. Na łamach poświęconego matematyce „Plus Magazine” przypomniał je niedawno David Spiegelhalter, szef Winton Centre for Risk and Evidence Communication, działającej przy Cambridge University instytucji, która problem obwieszczania czynników ryzyka bada, używając aparatu naukowego.

„Wierzymy, że wszyscy mają prawo dostępu do wyważonego materiału dowodowego związanego z ważnymi dla nich problemami; do materiału prezentowanego w sposób przejrzysty, do tego, by być informowanym, a nie przekonywanym” – oto dewiza Winton Centre. Nie jest to (chyba) dewiza rządu polskiego, który wydaje się pracować w trybie nakazowo rozdzielczym, wzbudzając podejrzenia, że uprawia jakiś rodzaj „biopolityki”.

Jak długo mają obowiązywać restrykcje? Dlaczego takie, a nie inne? Co się będzie działo, kiedy przestaną obowiązywać? A może nie przestaną? Skąd zakaz wchodzenia do lasu? Dlaczego maseczki – a jeśli maseczki, to dlaczego dopiero od 16 kwietnia, a nie od dziś? Na te i podobne pytania można już przecież zacząć konkretnie odpowiadać.

Ale są rządy, które wydają się działać nieco inaczej – np. singapurski. „Nie ma żadnego magicznego rozwiązania”, powiedział kilka dni temu w rozmowie z lokalnym dziennikiem „The Straits Times” Lawrence Wong, tamtejszy minister rozwoju. „Żadne krótkoterminowe działanie nie przeprowadzi państwa do stanu normalności. Wirus będzie z nami przez wiele miesięcy – i musimy być do tego mentalnie i psychologicznie przygotowani”.

Podobnie działa rząd brytyjski. Kluczowe publikacje naukowe, które stanowią podstawę jego strategii, trafiają do obiegu publicznego. Tak było ze słynną pracą grupy Neila Fergusona z Imperial College London, tak też się stało z raportem badaczy z London School of Hygiene & Tropical Medicine. Przedstawiają oni możliwie precyzyjnie sposoby wychodzenia ze stanu zamrożenia, lockdownu, w pułapkę którego wszyscy zostaliśmy przez SARS-CoV-2 złapani. Symulacje dotyczą Wielkiej Brytanii, ale można bezpiecznie założyć, że fundamentalne prawidłowości obejmują większość państw świata – także Polskę.

Czytaj także: Skąd się biorą plagi

Czytamy więc raport i próbujemy zrobić dla Państwa to, czego nie robią ci, którzy powinni.

Co ma krykiet do pandemii

W maksymalnym skrócie: brytyjscy badacze zadali sobie pytanie, czy do stłumienia pandemii do poziomu wydajności służby zdrowia wystarczą same ograniczenia w kontaktach społecznych, choćby te ostre. Okazało się, że nie wystarczą. Ani zamknięcie szkół, ani dystansowanie społeczne, ani ochrona osób starszych, ani samoizolacja nie zredukują współczynnika reprodukcji wirusa na tyle, by można było uznać epidemię za tymczasowo opanowaną.

Czytaj także: Jak okiełznać wirusa? Co mówią modele matematyczne

Co ciekawe (i wspólne z modelem Fergusona należącym do zupełnie innej klasy, agentowej), samo zamknięcie szkół ma znikomy wpływ na spadek liczby zachorowań. Niestety ten efekt jest niwelowany przez kontakty dzieci z dziadkami po i przed zajęciami (rodzice są przecież zajęci pracą). Dzieci przechodzą infekcję często bezobjawowo, babcie i dziadkowie stają się więc ich ofiarami. Zupełnie inaczej jest z grypą – w jej przypadku zamykanie szkół przynosi znakomite rezultaty.

„Modelarze” symulowali też ewentualność, w której restrykcje nie są włączane jednocześnie na terenie całego kraju. Epidemia nie rozwija się przecież wszędzie w jednakowym tempie, być może należy więc działać bardziej lokalnie. I owszem, prowadzi to do niewielkiego spadku liczby zachorowań i zgonów. Ale symulacje nie uwzględniają ewentualnych problemów związanych z niejednoczesnym wprowadzaniem ograniczeń (niejednakowym przestrzeganiem ograniczeń, przemieszczaniem się ludzi między regionami).

Brytyjczycy nie byliby Brytyjczykami, gdyby nie przyjrzeli się temu, jak udział w imprezach sportowych wpływa na przebieg epidemii. Wiadomo – piłka nożna, krykiet, wyścigi konne. Wyniki niosą pewną otuchę w tych ciężkich czasach. Mimo iż roczna liczba wizyt kibiców na trybunach przekracza 75 mln, to i tak liczba kontaktów międzyludzkich, do których tam dochodzi, jest znikoma w porównaniu do liczby kontaktów, do których dochodzi w codziennym życiu. Mowa o mniej więcej 375 mln kontaktów na trybunach i 270 mld poza nimi. Wstrzymanie imprez sportowych ma więc znikomy wpływ na liczbę infekcji.

Czytaj też: Kres złudzeń. Brytyjczycy zamykają puby, będą walczyć z wirusem

Tyle obserwacji pobocznych – a teraz wyniki.

Jak zamrażać, kiedy i dlaczego

Symulacje przebiegów pandemii prowadzono dla scenariuszy przewidujących następujące interwencje w kontakty społeczne:

Scenariusze interwencjiLondon School of Hygiene & Tropical MedicineScenariusze interwencji

Jak już zapewne się Państwo domyślacie, najlepiej byłoby zastosować wszystkie ograniczenia na raz. I to działa, ale tylko do chwili ich wyłączenia. Wkrótce potem pandemia gwałtownie wybucha na nowo. Konieczne jest więc zamrażanie społeczeństwa i poniekąd państwa, potwierdzają Brytyjczycy. Ale to już wiemy od kilku tygodni. Stąd pytanie drugie i zasadnicze. Jeśli trzeba zamrażać, to wiadomo doskonale, że nie w nieskończoność, bo nie zniosą tego ani ludzie, ani gospodarka. Zatem na jak długo i jak często? Wyjaśnienie na dwóch obrazkach niżej.

Ilustracja 1. Wpływ intensywnych restrykcji i okresowych zamrożeń na przebieg epidemii. Pole pomarańczowe – intensywne restrykcje. Szare – lockdown. Fioletowe – zamknięcie szkół.London School of Hygiene & Tropical MedicineIlustracja 1. Wpływ intensywnych restrykcji i okresowych zamrożeń na przebieg epidemii. Pole pomarańczowe – intensywne restrykcje. Szare – lockdown. Fioletowe – zamknięcie szkół.

Jak widać, być może przyjdzie nam ograniczać kontakty przez cały rok – z tym że ograniczenia będą najpewniej znacznie mniej dramatyczne niż te, z którymi mamy do czynienia obecnie. One same jednak nie wystarczą, żeby opanować sytuację. Co jakiś czas społeczeństwo/państwo przełączać trzeba będzie w tryb lockdownu czy też zamrożenia – na miesiąc, półtora, zależnie od okoliczności. To szare pola na wykresie. Gruba falująca linia niebieska oznacza liczbę infekcji. Linie poziome wyznaczają limity (obecny i podwojony) łóżek na brytyjskich oddziałach intensywnej terapii. Symulacja z ilustracji została przeprowadzona przy założeniu, że lockdown jest ogłaszany za każdym razem, gdy liczba chorych na Covid-19 wymagających intensywnej terapii przekracza 2 tys. Wykres przedstawiony na ilustracji nr 1 przedstawia możliwy sensowny scenariusz działań ograniczających pandemię do rozmiarów, z którymi poradzi sobie (brytyjska) służba zdrowia. Pomarańczowe pole oznacza czas obowiązywania intensywnych interwencji (opisanych w tabeli wyżej). Obszary fioletowe oznaczają zamknięcie szkół.

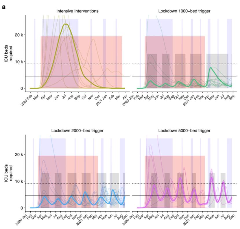
Wyniki symulacji dla innych progów (liczb chorych na oddziałach intensywnej terapii) przedstawia ilustracja nr 2. Widać, jak ogromny wpływ na życie całego społeczeństwa i funkcjonowanie państwa ma zwiększenie wydolności systemu opieki zdrowotnej. Okresy nowej normalności mogą stać się dłuższe niż okresy zamrożeń.

Ilustracja nr 2. Wpływ intensywnych restrykcji i okresowych zamrożeń na przebieg epidemii – dla różnych progów uruchamiania restrykcji. Pole pomarańczowe – intensywne restrykcje. Szare – lockdown. Fioletowe – zamknięcie szkół.London School of Hygiene & Tropical MedicineIlustracja nr 2. Wpływ intensywnych restrykcji i okresowych zamrożeń na przebieg epidemii – dla różnych progów uruchamiania restrykcji. Pole pomarańczowe – intensywne restrykcje. Szare – lockdown. Fioletowe – zamknięcie szkół.

Ilustracja nr 3. Rozkład R0 w zależności od wprowadzonych ograniczeńLondon School of Hygiene & Tropical MedicineIlustracja nr 3. Rozkład R0 w zależności od wprowadzonych ograniczeń

Na ilustracji nr 3 widać natomiast, jak zmienia się R0, czyli bazowy współczynnik reprodukcji (opisujący dynamikę infekowania) w zależności od powziętych restrykcji. Kiedy nie robimy nic, R0 może osiągać wartości od 2 do blisko 5 (najpewniej ok. 2,5). Wprowadzenie intensywnych ograniczeń – czy to przy zamkniętych, czy otwartych szkołach – pozostawia R0 w przedziale gwarantującym, niestety, dalsze rozprzestrzenianie się epidemii, i to w tempie wyższym niż np. tempo epidemii grypy. Dopiero lockdown załatwia sprawę.

Taka mniej więcej zapewne czeka nas przyszłość – przynajmniej najbliższa. Jak mówi Lawrence Wong, czasem będziemy dociskać pedał hamulca do oporu, czasem odpuszczać. Nie będzie szybkiego powrotu do starej normalności, ale też nowa normalność nie będzie tragiczna.

Czyta też: Azjatyckie sposoby na wirusa, czyli jak to się robi na Tajwanie

Świadome czynniki zarazy

Jak każdy model, i ten badany przez grupę z London School of Hygiene & Tropical Medicine ma swoje inherentne słabe strony. Nie zawiera też w sobie całej „dobrej” i „złej” nieprzewidywalności związanej ze wstrząśnięciem tak złożonej struktury, jaką jest cywilizacja.

Ale przypomnijmy raz jeszcze, że modele nie służą do tworzenia precyzyjnych przepowiedni. Generowanych przez nie liczb też nie należy uznawać za definitywne. Dobre modele pozwalają za to rozumieć mechanizmy pandemii i możliwy wpływ naszych działań na ich przebieg. Prawie każdy kraj będzie próbował inscenizować bardzo podobny scenariusz – ale każda lokalna interpretacja będzie nieco inna. Różna będzie też skuteczność. W tym procesie absolutnie kluczowy jest rozumny udział dobrze poinformowanego, świadomego ryzyka społeczeństwa. Nie jesteśmy – nie możemy być – biernymi „nośnikami” zarazy.

Czytaj też: Ile z 40 mln zagrożonych śmiercią osób uda się uratować? Raport Imperial College London

Dużo więcej o tym, jak możemy wspólnie wyjść z zamrażarki, i o bardziej szczegółowych wnioskach z powyższych symulacji – już po świętach.

Więcej na ten temat
Reklama

Czytaj także

null
Świat

Lęk przed drugą Jałtą. Trzech drapieżców gra już nowy koncert mocarstw? Trudny czas dla Europy i Polski

Amerykańska interwencja w Wenezueli i zapowiedzi Donalda Trumpa o zagarnięciu Grenlandii zapowiadają inny porządek świata. Fatalny dla takich krajów jak Polska.

Tomasz Zalewski z Waszyngtonu
13.01.2026
Reklama

Ta strona do poprawnego działania wymaga włączenia mechanizmu "ciasteczek" w przeglądarce.

Powrót na stronę główną